Mobile devices used for medical applications: Insights won from a usability study with diabetes patients

Abstract

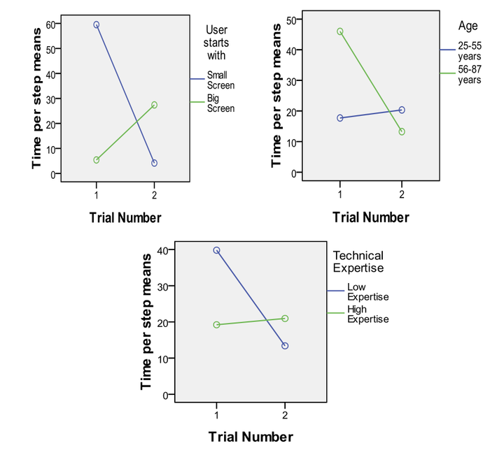
Mobile small screen technology increasingly penetrates health care and medical applications. However, usability research regarding the ease of using these devices, as well as acceptance issues did mostly address aspects of IC-Technologies in younger and healthy users. This study investigates impacts of ageing, technological expertise and domain knowledge on user interaction using the example of diabetes. First, the software for the monitoring of diabetes had been developed and implemented on a PC. The simulated diabetes assistant was displayed on a small screen device as well as on a very large display, simulating an ambient assisted living environment. In a second step, the navigation behavior of younger and older diabetes patients as well as healthy users was assessed. Results show that age and display-size have a big impact on the device interaction, independently of domain knowledge. Furthermore, it was found that simple usage of a bigger screen could be helpful for tutoring patients in using a mobile electronic living assistant. In order to assess usability of the device acceptance was measured after the experiment and was found to be positivley correlated with effectiveness.

Publication
In: International Journal for Digital Society (IJDS), (1), 4, pp. 298–307

Related